CIELAB en CIELUV
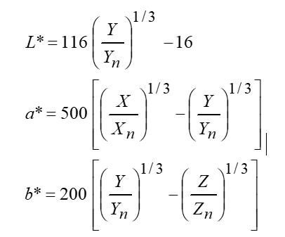
De CIE heeft in 1976 twee kleurenruimten voorgesteld, CIELAB en CIELUV, die bij benadering wel uniform zijn, zodat de MacAdam ellipsen in deze kleurenruimten meer op cirkels lijken. CIELAB is de meest gebruikte. Het definieert drie assen L*, a* en b* die berekend worden uit X,Y en Z. L* is de licht-donker as met daarop de achromatische kleuren (zwart L*=0, wit L*=100); a* is de rood-groen as en b* de geel-blauw as. De CIELAB ruimte is altijd gecentreerd rondom de lichtbron, deze bevindt zich dus altijd op coordinaten a*= b*=0.

De formules om L*a*b* te berekenen uit X,Y,Z zijn als volgt:

Hierin zijn Xn,Yn en Zn de X,Y,Z waarden van de wit referentie ten opzichte waarvan men de kleuren beschouwd. Aangezien een wit object het licht van een lichtbron volledig reflecteert kan men het wit ook als de lichtbron beschouwen. Bovenstaande formules zijn geldig voor X/Xn>0.008856, Y/Yn>0.008856 en Z/Zn>0.008856. Als dit laatste niet het geval is zijn er gewijzigde formules nodig.
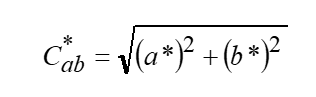
In plaats van het rechthoekige coördinatenstelsel met a* en b* wordt ook veel gebruik gemaakt van de poolcoördinaten C*ab en hab, die de verzadiging en kleurtoon aangeven. De chroma (verzadiging) wordt berekend met

en de hue angle (kleurtoon) met

Volgens definitie is de hue angle gelijk aan 0 bij de positieve a*-as, en loopt in een cirkel rond tot 360° (dit is weer gelijk aan 0°).
Met het CIELab model hebben we nu een methode om kleuren om te zetten in getallen en deze met elkaar te vergelijken: Of te wel we kunnen onderzoeken of er kleurverschillen zijn.
In ons volgende artikel gaan we verder hierop in.